| 品牌 | 其他品牌 | 应用领域 | 医疗卫生,电子/电池,制药/生物制药,电气,综合 | 
|---|
STELLAR TECHNOLOGY压力传感器供应ST1550-15000G-139我们的优势:PCB Piezotronics加速度传感器PCB®公司专业致力于压电测量技术的研发,是研究、开发和制造冲击、振动、力、压力、应变、扭矩、声学传感器及测量仪器的高科技公司。产品广泛应用于航空、航天、船舶、石化、水力、电力、轻工、交通和车辆等领域,产品在世界上享有盛誉。除了通用产品外, PCB®也按用户的要求制造定制产品以满足不同应用和客户群的需要。顾客满意是我们服务的一贯宗旨
STELLAR TECHNOLOGY压力传感器供应ST1550-15000G-139产品信息服务:PCB压力传感器介绍 压电式压力传感器常用来测量动态压力,一般不适用于静态压力的测量。动态压力测量(典型应用如湍流,,弹道和发动机燃烧等)需要用到有特殊功能的传感器,包括快速响应,外壳坚固,高刚度,可扩展量程和可以测量准静态压力的能力。
内置ICP®(Integrated Circuit Piezoelectric)电路的加速度计是复杂的机电系统。其中的机械和电子部件设计用于在幅值和时域(频域)上提供宽范围的线性响应(即测量的加速度信号产生的电压信号)。但是,每一支传感器都有它的测量限值(包括幅值和频率两方面)。超过这些许可的限值,就可能会造成信号的衰减、放大或削波。有时,由于本底噪声的存在,信号甚至不能测量。
因此,了解所使用的ICP®加速度计的测量限值,并将测量值保持在其限值之内,对保证测试测量的准确性是非常重要的。
本文将从以下几个方面和大家探讨加速度计的测量极限。
ICP®加速度计的工作原理;
线性响应的(幅值和频率)上限和下限及决定因素;
借助信号处理理论和示例,分析测量值超过限值对响应频谱的影响;
如何通过参数表,了解加速度计的测量限值。
2.2 频率限值
2.2.1 频率下限—放电时间常数(DTC)
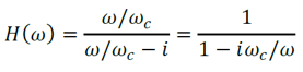
关于低频背景噪声,一个经常会被问起的问题是:“为什么不采取减小RC电路中的电阻值的简单办法,以减少噪声?" 答案在于,RC电路除了影响测量限值之外,还起到一个高通滤波器的作用,如图8所示:

图8 RC电路、DTC和低频限值的关系
减小电阻会使这个高通滤波器的截止频率上移,从而减少可用频率范围。为理解这个问题,我们首先看ICP®传感器中RC电路的电压传递函数:
放电时间常数(DTC)是电阻和电容的乘积,因此:
DTC的倒数也就是这个高通滤波器的截止频率,也就是通常所说的3dB频率点:
因此:
    这个一阶高通滤波器的幅频和相频特性如图9所示。注意,幅频图中采用了对数坐标,以清楚显示截止频率以下的趋势。随着频率的下降,不但电压的幅值发生衰减,相位也逐渐增大,直至增到90度的限值。

图9 一阶高通滤波器的幅频和相频特性
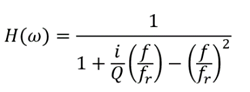
2.2.2 频率上限 — 加速度计谐振
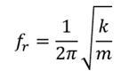
 我们已经知道,加速度计的频率下限取决于加速度计内部电路的电气特性,而其频率上限则取决于它的机械特性。加速度计中的惯性质量、压电晶体可等效为一个单自由度运动系统。传感器安装之后,惯性质量、压电晶体以及安装连接等同样可等效为一个做受迫运动的单自由度系统。对于ICP®加速度计,自由状态下的谐振频率是没有实际意义的,实际上安装谐振频率决定了加速度计的测量频率带宽的上限。安装谐振频率和传感器自身机械结构的固有频率有关,也和安装方式有关。安装谐振频率的计算公式如下为:
加速度计可视为一个谐振器,谐振的放大作用如图8所示。放大作用最大的点在fr频率点,但在低于fr的频率上也有放大作用。3dB 频率点受单自由度系统的等效阻尼的影响,根据经验法则,该频率是谐振频率的一半。通常可用的频率范围的上限取为信号放大5% 或10%的频率点。
谐振器起到一个二阶低通滤波器的作用,其传递函数是 式中,Q表示谐振器的“增益因子",实质是结构损耗因子的倒数。加速度计很少给出Q的数值,这个值通常在50~100的范围内。图10显示了这种滤波器的幅频和相频响应。在低频部分,对输入信号有一个单位增益(即无影响),在谐振频率及附近,有放大作用。在谐振频率之上,信号也会产生180度的相位翻转。
  式中,Q表示谐振器的“增益因子",实质是结构损耗因子的倒数。加速度计很少给出Q的数值,这个值通常在50~100的范围内。图10显示了这种滤波器的幅频和相频响应。在低频部分,对输入信号有一个单位增益(即无影响),在谐振频率及附近,有放大作用。在谐振频率之上,信号也会产生180度的相位翻转。

图10 二阶低通滤波器的幅频和相频响应
接下来,用一个由宽带噪声和纯音(500Hz)构成的假想信号通过低通谐振滤波器。有无滤波两种情况的对比见图11。可见,在时域和频域图中,谐振的放大作用都很明显,和加速度计的响应相似。

图11 低通谐振滤波器对信号的影响
3. 使用参数表,了解传感器的测量限值
虽然决定加速度计的可用线性范围的因素很复杂,但在加速度计的参数表里列出了我们以上所讲的各项线性范围,如图12、13所示。根据这个参数表,可以很容易地将测量控制在线性范围内。
现在,我们比较PCB®生产的353C03 (通用型) 和393B31(地震型,高灵敏度)两种加速度计的参数。首先,注意两种加速度计的灵敏度分别为10 mV/g 和10 V/g,相差100倍,差异巨大。这是由于ICP®电路中放大器的参数不同,以及加速度计中的移动质量不同(地震型加速度计使用的质量更大,从而挤压晶体产生的电荷更多)。
图12显示了决定测量幅值上限和下限的参数。量程为电源允许的+/- 5 V除以传感器的灵敏度(V/g)。393B31能测量的加速度的峰值仅为0.5 g,而353C03 通用型加速度计的量程则为500g。但是,393B31的幅值下限为1grms,要远小于353C03的500 g rms,从而能够测量更小的振动。参数表通常也提供特定频率下的谱下限(本底噪声)。可以看到,地震型加速度计的本底噪声远低于通用型加速度计,这也是在意料之中。

图12 参数表中决定幅值上下限值的参数
影响频率限值的参数见图13。放电时间常数(DTC)决定了RC电路的频率下限。电阻越大,频率下限越低(需要记住的是,大电阻也会增大低频本底噪声)。地震型加速度计的DTC要大的多,从而能够更好地测量低频成分。谐振频率决定了可用频率范围的上限,通常取为谐振频率的20%。地震型加速度计的谐振频率要低得多。

图13 参数表中决定频率上下限值的参数
4 结论
综上,ICP®加速度计是复杂的机电系统,包括:
(1)弹簧-质量振子,产生变化的电荷;
(2)简单的RC电路,将电荷转化为电压,并增加放电时间;
(3)放大器,设置传感器的灵敏度(多少V/g);
(4)电压范围为18-30 VDC的恒流源电源。
这些机械和电子参数有效确定了传感器在幅值和时域(频域)上线性响应的上下限。RC电路建立了加速度计在幅值和频率上线性响应的下限。增大电阻将增高低频背景噪声和宽带分辨率(能够测量的最小信号)。反之,减小电阻将提高可测量频率的下限。因此,加速度计中使用的电阻是综合考虑背景噪声和ICP®的RC电路的高通滤波的截止频率而确定的。放大器和电源供电电压的范围决定了幅值的上限,通常为+/- 5 V。最后,振荡质量和晶体决定了谐振频率,以及信号将被显著放大的频率上限。
超过这些限值,将可能产生以下影响:
(1)造成削波和信号衰减(幅值超过+/- 5 V时);
(2)信号不能被测量(信号幅值低于本底噪声);
(3)高通滤波器对低频信号造成衰减;
(4)高频时由于内部谐振对信号放大。
根据厂家提供的加速度计参数表,可以很容易地将测量控制在加速度计许可的(幅值和频率)线性范围内。
STELLAR TECHNOLOGY压力传感ST1500-15000G-228
STELLAR TECHNOLOGY压力传感ST1550-15000G-139
352C34113B26357B21039250-51201
482C16113B22393B045302D-02A
482C05113B24TLD333B30039237-50051
208A11113B21356A26039037-50022
208A12113B28 393B12039237-50022
208A13102M205333B40039050-51201
208A14112A05352B5302D-01A

208A15176M03357B11039037-50051
208C01106B354C03039225-50101
208C02112A22352C66039230-50021
208C03132A31393B31039275-50301
208C04102M206393A032301-02A
208C05106B50352A602302-02A
218A11 106B52353B162508-02A
218C102B393B05039050-50101
201A75113B27350D02039201-53102
201A76116B352B10039230-50101
201B01137B23BTLD356A02 039250-50101
201B02137B24B355B032508-04A
201B03102B04356A714104-01A
201B04109C11TLD352A564115K-08A
201B05109C123741E12200G039001-53102
202B 203B112A21TLD356A16039025-50051
204C/205C102B06320C03039025-50101
206C/207C106B51353B31039030-50021
211B/212B176M12355B02039030-50101
213B/214B137B23A 353B14039075-50301
215B/216B/217B137B22B320C15039075-51501
221B01105C02350B01039075-53601
221B02102B153711E1150G039225-51015
221B03113B23288D01039230-51015
221B04102B03 320C04039275-51501
221B05111A26333B32039275-53601